Virtua Solutions Logo
  • ABOUT US
  • SERVICES
    • FINANCE & ACCOUNTING
    • SALES & MARKETING
    • VIRTUAL ASSISTANCE
    • CUSTOMER SERVICE
  • RESOURCES
    • BLOG
    • BIZNEST
    • FAQ’s
    • OUTSOURCING RESOURCES
    • Ai VA Webinar
  • CAREERS
  • CONTACT US
  • ABOUT US
  • SERVICES
    • FINANCE & ACCOUNTING
    • SALES & MARKETING
    • VIRTUAL ASSISTANCE
    • CUSTOMER SERVICE
  • RESOURCES
    • BLOG
    • BIZNEST
    • FAQ’s
    • OUTSOURCING RESOURCES
    • Ai VA Webinar
  • CAREERS
  • CONTACT US
  • Published: October 18, 2021

Startup Business Outsourcing Contracts And How To Write Them

What’s Inside

  • October 18, 2021
  • Roger Decierdo
startup-business-outsourcing-contract

When outsourcing your startup business operations, you would want everything to go according to your desires. This is where the contract you forge with the outsourcing firm becomes vital. But developing that contract requires some considerable thought. Here is how you can go around crafting it.

The Importance Of An Outsourcing Contract For Your Startup Business

While it might already be a given, it would still help you appreciate a contract’s worth by understanding its importance. There are several key reasons why you would want to have one

  • A record of commitments: The contract outlines the list of duties you and the provider need to accomplish for the partnership to succeed.
  • Compliance: The contract also provides the rules both parties should abide with for a successful project.
  • Risk mitigation: Your outsourcing contract also serves as a way to lessen any conflicts that can arise and potential risks.
  • A collaboration and communication tool: You can use your contract to establish the communication and collaboration practices between the two parties.

These reasons not only tell you why the contract is a must. They also give you an idea of how your startup business and the outsourcing partner need to build it for maximum effectiveness.

The Kinds Of Outsourcing Contracts

The first thing to think about when building your outsourcing contract is what kind it will be. While that will depend on the exact nature of your outsourcing needs, there are four common types that you can consider.

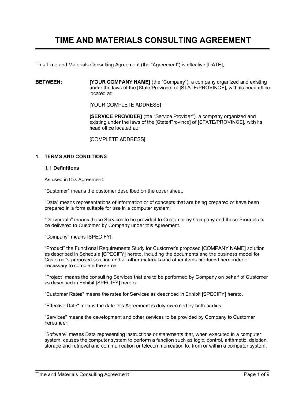
Time And Materials Contract

In this contract, you pay the outsourcing firm based on the work time and the materials they used. The former is measured based on the hourly rate of each member of the team assigned to you. Meanwhile, the latter is based on the current market cost of the materials.


Image from Business In A Box.

This type of contract provides you with a great deal of flexibility since you can adjust it according to changing requirements. The service is also billed according to the actual work done. But you need to closely manage it to ensure that the final price is within an acceptable range.

Fixed Price Contract

For this type of contract, you and the outsourcing firm agree on a single price covering the entire project. Here, you will be the one estimating the total price based on a clear scope of the work. The big draw of this contract is that you already have a predetermined time and budget for the project.

Image from SampleTemplates.

However, that also means that it will be less flexible. As such, you might have to go through an extensive contract modification to accommodate any sudden changes. Also, note that if the final costs are higher than the initial amount agreed upon, the service provider will be the one shouldering it. Thus, you would want to discuss this early before finalizing the contract.

Pain Share/Gain Share

This type of contract lets you and your outsourcing partner share the benefits and losses of the project. You decide how exactly that sharing mechanism works during the early negotiation process. This incentivizes both to deliver at least the baseline of the agreed work.


Image from Built Intelligence.

The main challenge for this type of contract is that it requires a strict change management process. You also need to have a clear project design from the get-go. That makes it unsuitable for small or open-ended projects.

Flexible Scope

With flexible scope contracts, you develop the agreement with the assumption that the project’s scope will change over time. As such, it aims to deliver the results as quickly and efficiently as possible. This orients it towards a more agile structure of management.

To properly implement this type of contract, there should already be a clear definition of roles that you and the outsourcing team will play. There should also be effective prioritizing to ensure that the project flows properly. Because of this, you will need a significant amount of cultural shift when entering this type of contract.

The Elements A Startup Business Outsourcing Contract Should Have

Another important thing that your startup business should consider are the contents of the contract. For this, there are five important elements which form the basic structure of the contract.

Description Of Services

When defining the services the contract covers, you need to be precise. Some of the specific details to include are:

  • Technical scope: The scope of the work to be done
  • Service element: The actual tasks to be rendered
  • Service hours: The period at which the work is to be delivered

In case of multiple services included in the contract, give each a section to detail their specifications. This will make it easier for you and the outsourcing firm to determine the final coverage.

Service Level Agreements

You should also define early what kind of results the outsourcing party needs to deliver. That is where the service level agreement comes in. SLAs provide both parties with the specific key performance indicators for the work at hand. Additionally, they set the thresholds for the definition of good service. The SLA can either be a separate document or as part of the exhibits included in the contract.


Image from Business In A Box.

Governance Model

To ensure that both parties abide by the contract stipulations, there should also be a definite governance model. This model includes the service monitoring processes, as well as the actions in case of issues. Additionally, you would want to include processes that will accommodate scope evolution, such as changes in volume or required services over time.

An Exit Plan For Your Startup Business

The last thing to consider when developing the outsourcing contract is what comes next after it ends. Having a clear exit plan will help both parties resolve loose ends and close the project properly.

Image from Doc Player

It also provides provisions for premature termination and transition to another provider. These include what elements need to be transferred back to you. You would also want to discuss the knowledge that should be transferred to the new provider.

Steer Your Startup Business Outsourcing Plans With The Right Contract

One final thing to remember when building your startup business outsourcing contract is that it will not always be foolproof. There would still be some gray areas that you need to take into account. You would also want to anticipate possible changes in the long run. Ask the help of a legal expert familiar with these deals before finalizing them.

About the Author

Rogelio Decierdo II

Content Writer, Virtua Solutions Outsourcing

Roger has over 15 years of experience being an online content writer for different companies in and out of the Philippines. Throughout his career, he has worked with clients from diverse industries, including online news websites, healthcare, technology, and entertainment. He has also worked with several publishing companies to create textbooks for use by schools around the Philippines. Roger graduated from the University of the Philippines Diliman with a Bachelor’s Degree in Journalism.

Rogelio Decierdo II

Content Writer, Virtua Solutions Outsourcing

Roger has over 15 years of experience being an online content writer for different companies in and out of the Philippines. Throughout his career, he has worked with clients from diverse industries, including online news websites, healthcare, technology, and entertainment. He has also worked with several publishing companies to create textbooks for use by schools around the Philippines. Roger graduated from the University of the Philippines Diliman with a Bachelor’s Degree in Journalism.

Related Posts

Three teammates taking office selfie

Top 5 Lessons We Learned on the Journey to Becoming a Best Workplace in the Philippines

April 14, 2026
CONTINUE READING »
What Founders Get Wrong About Outsourcing

What Founders Get Wrong About Outsourcing (And How to Avoid Costly Mistakes)

April 8, 2026
CONTINUE READING »
AI growth concept with business professional

How to Use AI to Augment (Not Replace) Your Outsourced Finance & Accounting Team’s Efficiency

April 1, 2026
CONTINUE READING »
Virtua Team Receives Great Place To Work Award

Virtua Solutions Outsourcing Ranked No. 7 in the Great Place To Work® Philippines 2026 Small Category

March 27, 2026
CONTINUE READING »
Group of people brainstorming in a meeting

What Great Looks Like: Quality Standards for a High‑Performing Filipino Remote Team

March 25, 2026
CONTINUE READING »
SaaS Outsourcing Readiness

Is It Too Soon to Outsource? A Practical Readiness Checklist for SaaS Startups

March 16, 2026
CONTINUE READING »
Load More

© 2024 Virtua Solutions Outsourcing Co. All rights reserved

Virtua Solutions Transparent Logo

Virtua Solutions is a Philippine-based team of outsourcing experts. We aim to bring the best Filipino talents to companies worldwide so these businesses can provide MORE to their own clients. Our services will meet your every business needs and we will bring the best remote teams wherever you are.

QUICKLINKS

  • Home
  • About Us
  • Services
  • Resources
  • Careers
  • Contact Us
  • Privacy Policy

OFFICE ADDRESS

  • Unit 3006 One Corporate Centre, Julia Vargas Ave., Ortigas Center, Pasig City, NCR 1605

EMAIL US

  • marketing@virtuasolutionsos.com

Virtua is a proud member of:

ANZCHAM Reversed Logo_Transparent

Newsletter

Join our subscribers list to get the instant latest news and special offers.